Tekeningen klonen

Tekla Structures
2022
Tekla Structures

Tekeningen klonen

U kunt tekeningen klonen met behulp van de kloontemplates die in de Tekeningendatabase in het bestaande model en in andere modellen, waarbij u een tekening in de Documentmanager van het huidige model en de kloontemplates in de templatebibliotheek gebruikt.

U moet het klonen van tekeningen overwegen indien het volgende van toepassing is:

  • Er bevinden zich meerdere vergelijkbare onderdelen, merken of betonelementen in het model.

  • U wilt uw werk vereenvoudigen in situaties waarin sprake is van meerdere vergelijkbare onderdelen met verschillende positienummers. Het kan zijn dat u aparte tekeningen hebt van deze vergelijkbare onderdelen.

  • Voor de tekeningen zijn veel handmatige bewerkingen nodig.

De gekloonde tekening kan meer of minder onderdelen bevatten dan de originele tekening. Onderdeeleigenschappen, labels, associatieve opmerkingen en verwante tekstobjecten worden gekloond van een vergelijkbaar onderdeel in de originele tekening.

Als klonen niet het gewenste resultaat oplevert, kunt u de gekloonde tekening handmatig wijzigen. U kunt bijvoorbeeld een tekening maken voor een spant, de tekening wijzigen en deze dan klonen om gelijksoortige spanten te maken. Soms moet u de gekloonde tekeningen aanpassen als de spanten niet helemaal hetzelfde zijn.

Gekloonde objecten

U kunt de volgende objecten klonen:

  • Maatlijnen

  • Labels voor lassen die in de tekening zijn toegevoegd

  • Labels voor lassen die in het model zijn toegevoegd

  • Peilmaten

  • Revisielabels

  • Toegevoegde objecten

  • Alle gebruikersattributen van een tekening

  • Teksten

  • Symbolen

  • Grafische tekeningobjecten (vormen)

  • Tekstbestanden

  • DWG-/DXF-bestanden

  • Hyperlinks

  • Handmatig gemaakte doorsnede- en detailaanzichten

  • Als u een merktekening kloont die onderdeeltekeningen bevat, worden in Tekla Structures de onderdeeltekeningen standaard in de gekloonde merktekening opgenomen.

Tekeningen met kloontemplates in de tekeningendatabase maken

In de Tekeningendatabase kunt u onderdeel-, merk- en betontekeningen maken met kloontemplates die u daar vanuit de Documentmanager hebt toegevoegd.

Alleen de kloontemplates die zich in de map die voor de variabele XS_CLONING_TEMPLATE_DIRECTORY is ingesteld bevinden, worden in de Tekeningendatabase weergegeven.

Beperkingen:

  • U kunt geen overzichttekeningen klonen via de Tekeningendatabase. U kunt alleen overzichttekeningen klonen met het commando Klonen in de Documentmanager.

  • U kunt verzameltekeningen niet klonen.

  • U kunt de tekeningeigenschappen van kloontemplates in de Tekeningendatabase niet wijzigen.

  1. Klik op het tabblad Tekeningen & Lijsten op Tekeningendatabase.
  2. Dubbelklik op de kloontemplate die u wilt gebruiken.
  3. Ga naar het tabblad Tekening maken en geef op hoe maatlijnen en labels worden gekloond.

    U kunt ervoor kiezen de maatlijnen en labels te negeren, te klonen of opnieuw te maken.

    Met de optie Labels worden revisielabels en alle labels voor gebouwobjecten opnieuw ingesteld.

    Het selecteren van Maken in het vak Maatlijnen en Andere labels is handig als het klonen van maatlijnen of andere labels geen bevredigende resultaten oplevert. Als u deze optie gebruikt, worden er geen nieuwe vensters gemaakt.

  4. Selecteer op hetzelfde tabblad de objecttypen die u wilt klonen.
  5. Als u alleen van bepaalde onderdelen een tekening wilt maken, selecteert u de onderdelen in het model.

    U kunt ook een geschikt selectiefilter gebruiken en het hele model selecteren. Activeer alleen de Objecten selecteren selectieknop wanneer u objecten selecteert. Anders kan de selectie lang duren.

  6. Klik Tekeningen maken of Tekeningen maken voor alle onderdelen.
  7. Nummer het model als u dat wordt gevraagd.

    Tekla Structures maakt de tekeningen en voegt deze aan de Documentmanager toe. De gekloonde tekeningen zijn in de Documentmanager gemarkeerd met de tekst Tekening is gekloond in de kolom Wijzigingen.

  8. Controleer de gekloonde tekening en wijzig deze indien nodig.
Tip:

Als u kloontemplates hebt die u met een oudere versie van Tekla Structures hebt gemaakt en u de betere associativiteit van een nieuwere versie van Tekla Structures wilt gebruiken, vernieuwt u de tekeningassociativiteit met het commando Associativiteit verversen dat u in het vak Snel starten kunt invoeren.

Klonen met kloontemplates die zich in andere modellen bevinden

U kunt in de Tekeningendatabase kloontemplates die zich in andere modellen bevinden, in gebruik nemen en er tekeningen mee maken.

Beperkingen: U kunt alleen kloontemplates van andere modellen gebruiken, niet van andere typen hoofdtekeningen zoals opgeslagen instellingen of voorwaarden.

  1. Klik op het tabblad Tekeningen & Lijsten op Tekeningendatabase.
  2. In de Tekeningendatabase, klik om het dialoogvenster Modellen die hoofdtekeningen bevatten te openen.
  3. Klik op Model toevoegen... en blader naar het gewenste model.
  4. Klik op OK.

    De kloontemplates worden nu in de gedefinieerde map in de Tekeningendatabase weergegeven.

  5. Selecteer de kloontemplate in de Tekeningendatabase en maak met de geselecteerde template een tekening.
Tip:

Wanneer verschillende projecten gelijke onderdelen bevatten, kunt u een set kloonmodellen onderhouden en de kloontemplates in de kloonmodellen gebruiken wanneer u deze nodig hebt.

Klonen vanuit de Documentmanager

Naast het klonen van tekeningen met behulp van kloontemplates in de Tekeningendatabase kunt u onderdeel-, beton-, merk- en overzichttekeningen ook klonen via de Documentmanager.

Opmerking:
  • Wanneer u tekeningen van merken of betonelementen kloont, moeten ze hetzelfde type hoofdonderdeel hebben als het merk of betonelement van waaruit de originele tekening is gemaakt. De bovenste regels van het origineel en de gekloonde spant kunnen bijvoorbeeld hoofdonderdelen zijn.

  • In overzichttekeningen worden één hoofdaanzicht en worden doorsnedevensters en detailvensters gekloond. Het is echter mogelijk dat het klonen van de doorsnede- en detailvensters niet nauwkeurig is.

  • Het klonen van overzichttekeningen kan annotaties voor een bovenaanzicht niet correct klonen als aanzichten zich in verschillende XY-coördinaten bevinden. Als u bijvoorbeeld twee GA-tekeningen met bovenaanzichten voor verschillende etages hebt, is het kloonresultaat alleen aanvaardbaar als de etages zich boven elkaar bevinden, zodat de Z-coördinaat het enige verschil tussen deze etages is. Als de twee bovenaanzichten zich echter in twee verschillende gebouwen bevinden, zijn de XY-coördinaten verschillend, waardoor het kloonresultaat voor annotaties niet goed is.

Voordat u kloont, moet u de tekening die u als een kloontemplate wilt gebruiken, voltooien, opslaan en sluiten.

Een tekening klonen

Om een tekening uit Documentmanager te klonen, gaat u als volgt te werk:

  1. In het model selecteert u wat u in de tekening wilt opnemen:

    • Als u een onderdeeltekening, betontekeningen of merktekeningen kloont, selecteert u onderdelen, merken of betonelementen.

    • Selecteer een modelvenster als u een overzichttekening kloont. Klik hiervoor op het gewenste modelvenster zodat er om het venster een geel kader verschijnt.

  2. Klik op het tabblad Tekeningen & Lijsten op Documentmanager.

  3. Klik op Klonen en voer vervolgens een van de volgende handelingen uit:

    • Selecteer Huidige model, klik op Tekening selecteren en in Documentmanager selecteert u de tekening die u als kloontemplate wilt gebruiken.

    • Selecteer Ander model en blader naar het gewenste model en klik op OK. Klik vervolgens op Template selecteren en selecteer de tekening die u als kloontemplate wilt gebruiken. De lijst geopend laten. Voor meer gedetailleerde instructies over dit type klonen raadpleegt u onderdeel ¨Klonen met behulp van de tekeningtemplates in een templatebibliotheek¨.

  4. Selecteer in het dialoogvenster Tekening klonen de tekeningobjecttypen die u in de nieuwe tekening wilt klonen en de acties voor elk objecttype.

    • Selecteer voor Maatlijnen en Andere labels (alle labels voor gebouwobjecten) of u ze wilt Klonen, automatisch opnieuw wilt genereren wanneer u een tekening kloont (Maken) of dat u ze wilt Negeren bij het klonen.

      Het selecteren van Maken in het vak Maatlijnen en Andere labels is handig als het klonen van maatlijnen of andere labels geen bevredigende resultaten oplevert. Als u deze optie gebruikt, worden er geen nieuwe vensters gemaakt.

    • Geef voor andere objecten aan of u ze wilt Klonen of Negeren.

  5. Klik op Kloon geselecteerde.

Tekla Structures kloont de tekening. De gekloonde tekeningen zijn in de Documentmanager gemarkeerd met de tekst Tekening is gekloond in de kolom Wijzigingen.

Voor een voorbeeld over het klonen van een overzichttekening het onderstaande raadplegen.

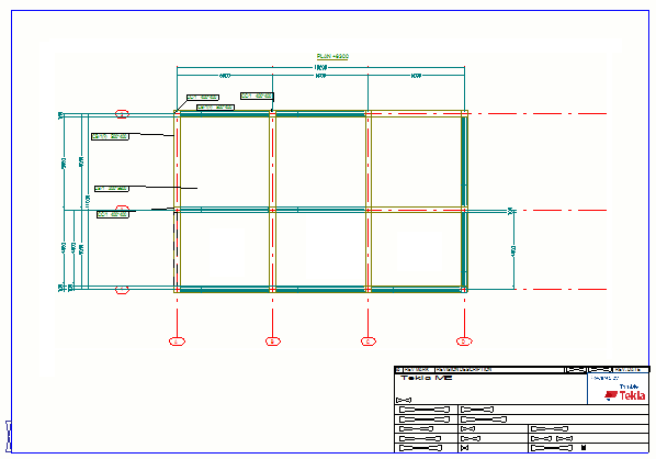
Voorbeeld: Een overzichttekening klonen

In dit voorbeeld is een overzichttekening gemaakt van het + 3200 bovenaanzicht van een gebouw, vervolgens wordt de tekening bewerkt om het gewenste resultaat te krijgen en vervolgens wordt een overzichttekening van het + 6300 bovenaanzicht gekloond met de tekening van het + 3200 bovenaanzicht als een kloontemplate.

Voor gedetailleerde instructies over het klonen, raadpleegt u het bovenstaande gedeelte.

De eerste en tweede verdieping zijn vrijwel gelijk:

De overzichttekening van het +3200-bovenaanzicht is enigszins bewerkt. Er zijn bijvoorbeeld enkele labels verwijderd.

Het modelvenster dat het + 6300 bovenaanzicht vertegenwoordigt, is in het model geselecteerd en vervolgens wordt de tekening gekloond door de overzichttekening van het + 3200 bovenaanzicht als een kloontemplate in de te selecteren Documentmanager.

In de gekloonde tekening is het volgende van toepassing:

  • Het vlak van het tekeningaanzicht is verplaatst zodat het met het modelvenster van het +6300-bovenaanzicht overeenkomt.

  • Als onderdelen op dezelfde plaats aanwezig zijn, werden de labels naar een nieuwe locatie gekloond en werd de inhoud bijgewerkt.

  • Maatlijnen worden gekloond.

  • Alle gebouwobjectlabels zijn gekloond.

Klonen met tekeningtemplates in de templatebibliotheek

Dit is een meer handmatige manier voor het klonen van tekeningen: u kunt tekeningen maken met tekeningtemplates die zich in de templatebibliotheek bevinden. De templatebibliotheek is in de praktijk een modelmap die de tekeningen bevat die u als tekeningtemplates wilt gebruiken.

  1. Maak in een model dat u als een templatemodel gebruikt een tekening die u als tekeningtemplate wilt gebruiken en sla de tekening op.

  2. Selecteer in een ander model waarin u een tekening met een tekeningtemplate wilt maken de objecten die in de nieuwe tekening moeten worden opgenomen.

  3. Klik op het tabblad Tekeningen & Lijsten op Documentmanager.
  4. Selecteer in de Documentmanager een tekening en klik op Klonen.

  5. Klik op Ander model.

    Gebruik de knop Bladeren voor model... om naar een andere modelmap te bladeren die de gewenste tekeningtemplates bevat.

  6. Klik op Selecteer template...

  7. Selecteer in het dialoogvenster Tekeningtemplates een tekeningtemplate en laat de lijst open.

  8. Gebruik in het dialoogvenster Tekening klonen de opties Objecten en acties bij klonen om de te klonen tekeningobjecten en de acties voor elk gekloond object te definiëren.

  9. Kloon de tekening door op Kloon geselecteerde te klikken.

Tekla Structures kloont de tekening. Gekloonde tekeningen zijn in de Documentmanager gemarkeerd met de tekst Tekening is gekloond in de kolom Wijzigingen.

Tip:

U kunt met de variabele XS_DRAWING_TEMPLATES_LIBRARY opgeven dat een bepaalde modelmap altijd als templatebibliotheek wordt gebruikt.

Maatlijnen alleen in geselecteerde aanzichten klonen

De opties voor het klonen van maatlijnen in het Tekening klonen dialoogvenster zijn van invloed op alle aanzichten terwijl de optie Maatvoeringswijze in deze doorsnede alleen de maatvoeringswijze voor het geselecteerde aanzicht instelt. U kunt bijvoorbeeld automatische maatlijnen in het vooraanzicht maken en de maatlijnen in de doorsnede en het eindaanzicht klonen.

  1. Dubbelklik op het tekeningaanzichtkader om het dialoogvenster Aanzichteigenschappen te openen.
  2. Op het tabblad Attributen 2 stelt u Maatvoeringswijze in deze doorsnede in op Klonen.

    Deze optie beïnvloedt het maken van de maatvoering tijdens het klonen of het opnieuw bematen van bestaande tekeningen.

  3. Klik op Wijzigen.
  4. Sla de tekening op en sluit deze.
  5. Open de Documentmanager, selecteer de tekening en klik op Klonen...
  6. Selecteer in het dialoogvenster Tekening klonen de te klonen objecten en optie voor het klonen van maatlijn (Negeren, Klonen, Maken).
    • Als u Maatlijnen > Negeren selecteert, worden de maatlijnen alleen gekloond voor aanzichten waarvan Maatvoeringswijze in deze doorsnede op Klonen is ingesteld.

    • Als u Maatlijnen > Klonen selecteert, worden de maatlijnen voor alle aanzichten gekloond.

    • Als u Maatlijnen > Maken selecteert, worden de maatlijnen voor alle aanzichten gemaakt, behalve voor die waarvan Maatvoeringswijze in deze doorsnede op Niet maken is ingesteld.

  7. Klik op Kloon geselecteerde.

Associativiteit van tekeningen verversen na het klonen

Vaak moeten voor verbeteringen in het klonen en associativiteit de associatieve regels opnieuw worden gemaakt. Dit kunt u doen met behulp van het commando Associativiteit verversen. Wanneer u dit commando gebruikt, hoeft u de tekening niet opnieuw te maken.

Dit commando is bijvoorbeeld erg handig als u een kloontemplate hebt die u met een oudere versie van Tekla Structures hebt gemaakt, terwijl u gebruik wilt maken van de betere associativiteit van een nieuwere versie van Tekla Structures.

  1. Klik op het tabblad Tekeningen & Lijsten op Documentmanager.
  2. Open een kloontemplate waarvan u de associativiteit wilt vernieuwen.
  3. Ga naar Snel starten, voer Associativiteit verversen in en klik op het commando Associativiteit verversen in de weergegeven lijst.
  4. Sla de kloontemplate op.

Wat er in gekloonde tekeningen moet worden gecontroleerd

Controleer de gekloonde tekening altijd om ervoor te zorgen dat de tekeninginhoud aan uw wensen voldoet en labels, aanzichten en maatlijnen correct zijn.

Neem de gekloonde tekeningen door en controleer of alles klopt. Hierna volgt een controlelijst voor dit doel.

Object

Indien nodig controleren en wijzigen

Labels

  • Over het algemeen is de labelinhoud in gekloonde tekeningen correct, maar soms moet u de locatie van de labels wijzigen.

  • Tekla Structures kloont labels die aan de originele tekening kunnen worden toegewezen en maakt nieuwe labels voor onderdelen die niet aan de tekeningtemplate kunnen worden toegewezen.

Aanzichten

  • Zorg ervoor dat het formaat en de richting van de aanzichten correct zijn en dat de aanzichten op de juiste manier in de gekloonde tekening worden geplaatst. Het formaat van de aanzichten wordt bijgewerkt op basis van de onderdelen in de aanzichten.

Afmetingen

  • Als de gekloonde tekening minder onderdelen bevat dan de oorspronkelijke tekening, worden de maatlijnen van de ontbrekende onderdelen automatisch verwijderd.

  • Als de gekloonde tekening meer onderdelen bevat dan de oorspronkelijke tekening, bemaat Tekla Structures de aanvullende onderdelen met automatische maatvoering als u de variabele XS_INTELLIGENT_CLONING_ADD_DIMENSIONS op TRUE hebt ingesteld. Omdat Tekla Structures automatische maatvoering voor het maken van maatlijnen voor nieuwe onderdelen gebruikt, moet u de gemaakte maatlijnen mogelijk controleren en corrigeren.

  • Voeg ontbrekende maatlijnen toe en verwijder de foutieve maatlijnen.

Was dit nuttig?
Vorige
Volgende