Clone drawings

Tekla Structures
Modified: 15 Jan 2025
2025
Tekla Structures

Clone drawings

You can clone drawings using the cloning templates added in the Master Drawing Catalog in the existing model and in other models, using a drawing in Document manager of the current model, and using the cloning templates in the template library.

For a tutorial video of cloning including cloning a general arrangement drawing from Document manager, see Cloning drawings .

You should consider cloning drawings when:

  • There are several similar parts, assemblies, or cast units in the model.

  • You want to ease editing work when there are several similar parts that have different position numbers. You may have separate drawings of these similar parts.

  • The drawings need a lot of manual editing

The cloned drawing may contain more or less parts than the original drawing. Part properties, marks, associative notes and related text objects are cloned from a similar part in the original drawing.

If cloning does not produce a satisfactory result, you need to modify the cloned drawing manually. For example, you can create a drawing for one truss, modify the drawing, and then clone it for similar trusses. Sometimes you need to modify the cloned drawings where the trusses differ.

Cloned objects

The following objects can be cloned:

  • Dimensions

  • Marks for welds added in the drawing

  • Marks for welds added in the model

  • Level marks

  • Revision marks

  • Annotation objects

  • Texts

  • Symbols

  • Graphical drawing objects (shapes)

  • Text files

  • DWG/DXF files

  • Hyperlinks

  • Manually created section and detail views

  • When you clone an assembly drawing that includes single-part drawings, Tekla Structures includes the single-part drawings in the cloned assembly drawing by default.

Clone in Master drawing catalog using cloning templates

In the Master drawing catalog, you can create single-part, assembly, and cast unit drawings using cloning templates that you have added in the catalog from Document manager.

Note:

Only the cloning templates located in the folders that are set for the advanced option XS_CLONING_TEMPLATE_DIRECTORY are displayed in the Master drawing catalog.

For more information about adding cloning templates to Master drawing catalog, see Customize Master drawing catalog.

Limitations:

  • You cannot clone general arrangement drawings through the Master drawing catalog. You can clone general arrangement drawings only by using the Clone command in Document manager.

  • You cannot clone multidrawings.

  • The drawing properties of cloning templates cannot be modified through the Master drawing catalog.

  1. On the Drawings & reports tab, click Master drawing catalog.
  2. Select Cloning templates from the list at the top.
  3. Double-click the cloning template that you want to use.
  4. In the Master Drawing Properties dialog, go to the Drawing creation tab and specify how you want to clone dimensions and marks.

    You can select to ignore the dimensions, marks, and model weld marks, clone them, or recreate them.

    The Marks option controls revision marks and all building object marks.

  5. Still on the Drawing creation tab, select which object types you want to clone from the master drawing.
  6. Click OK
  7. If you want to create a drawing only for certain parts, select the parts from the model.

    You can also use an appropriate selection filter and select the whole model using area selection. Activate only the Select objects selection switch when you select objects, otherwise the selection may take a long time.

  8. Click Create drawings or Create drawings for all parts.
  9. Number the model if prompted to do so.

    Tekla Structures creates the drawings and adds them in Document manager. In the Document manager, cloned drawings are marked with the text Drawing was cloned in the Changes column. The Cloning source column indicates which drawings were used as cloning templates.

  10. Check the cloned drawing and modify it, if necessary.
Tip:

If you have cloning templates that you have created using an older Tekla Structures version and want to utilize the better associativity of a newer Tekla Structures version, refresh the drawing associativity by using the Refresh associativity command, which you can type in the Quick Launch box.

Clone in Master drawing catalog by using cloning templates in other models

In the Master drawing catalog, you can clone drawings using cloning templates located in other models.

Limitations: You can only use cloning templates from other models, not other types of master drawings, such as saved settings or rule sets.

  1. On the Drawings & reports tab, click Master drawing catalog.
  2. In the Master drawing catalog, click to open the Models Containing Master Drawings dialog.
  3. Click Add model... and browse to the desired model.
  4. Click OK.

    Now the cloning templates in the defined folder are displayed in the Master drawing catalog.

  5. Select the cloning template from the Master drawing catalog and create a drawing using the selected template.
Tip:

When you have similar parts in several projects, you can maintain a set of cloning models and then take the cloning templates in the cloning models in use when necessary.

Clone from Document manager

In addition to cloning drawings using cloning templates in Master Drawing Catalog, you can clone single-part, cast unit, assembly and general arrangement drawings from the Document manager.

Note:
  • When you clone drawings of assemblies or cast units, they must have the same type of main part as the assembly or cast unit from which the original drawing was created. For example, the upper chords of the original and the cloned truss could be main parts.

  • In general arrangement drawings, one main view, and section and detail views are cloned. However, the cloning of the section and detail views may not be accurate.

  • In general arrangement drawing cloning, annotations cannot be cloned properly for plan views if views are located in different XY coordinates. For example, if you have two GA drawings with plan views for different floors, the cloning result will be acceptable only if the floors are located on top of each other so the only difference between them is the Z coordinate. However, if the two plan views are located in two different buildings, the XY coordinates are different, and then the cloning result for annotations is not good.

Before cloning, finalize, save, and close the drawing you want to use as a cloning template.

Clone a drawing

To clone a drawing from Document manager:

  1. In the model, select what to include in the drawing:

    • If you are cloning a single-part drawings, cast unit drawing or assembly drawing, select parts, assemblies or cast units.

    • If you are cloning a general arrangement drawing, select a model view. To do this, click the desired model view so that the view gets a yellow frame around it.

  2. On the Drawings & reports tab, click Document manager.

  3. Click Clone and do one of the following:

    • Select Current model, click Select drawing and, in Document manager, select the drawing that you want to use as a cloning template.

    • Select Other model, browse to the desired model and click OK. Then click Select template and select the drawing that you want to use as a cloning template. Leave the list open. For more detailed instructions on this type of cloning, see section "Clone using drawing templates in a template library".

  4. In the Clone Drawing dialog, select the drawing object types you want to clone into the new drawing, and the actions for each object type.

    • For Dimensions and Other marks (all building object marks), select whether you want to Clone them, recreate them automatically when you clone a drawing (Create) or Ignore them in cloning.

      Selecting Create in the Dimensions and Other marks box is useful if cloning the dimensions or other marks does not produce satisfactory results. Using this option does not create any new views.

    • For other objects, select to Clone or Ignore them.

  5. Click Clone selected.

Tekla Structures clones the drawing. The new drawing is added in the Document manager, where the cloned drawings are marked with the text Drawing was cloned in the Changes column. The Cloning source column indicates which drawing was used as the cloning template.

For an example of cloning a general arrangement drawing, see below.

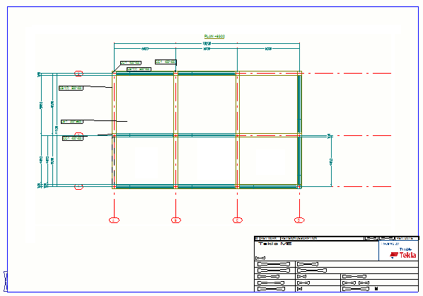
Example: Cloning a general arrangement drawing

In this example, a general arrangement drawing has been created of the +3200 plan in a building, then the drawing is edited to get the desired result, and then a general arrangement drawing of the +6300 plan is cloned using the +3200 plan drawing as a cloning template.

For detailed instructions on cloning, see the section "Clone a drawing" above.

The first floor and second floor are quite similar:

The general arrangement drawing of the +3200 plan is edited view slightly, for example, some marks were deleted.

The model view that represents the +6300 plan was selected in the model and then the drawing is cloned by selecting the general arrangement drawing of the +3200 plan as a cloning template in the Document manager.

In the cloned drawing:

  • The drawing view plane has been moved to match the model view +6300 plan.

  • If there are parts in matching places, the marks have been cloned to the new location and the content has been updated.

  • Dimensions are cloned.

  • All building object marks are cloned.

Clone using drawing templates in template library

This is a more manual way of cloning drawings: you can create drawings using drawing templates located in the template library. The template library is in practice a model folder that contains the drawings that you want to use as drawing templates.

  1. In a model that you use as a template model, create a drawing you want to use as a drawing template and save the drawing.

  2. In another model where you want to create a drawing using a drawing template, select the objects to be included in the new drawing.

  3. On the Drawings & reports tab, click Document manager.
  4. In Document manager, select a drawing and click Clone.

  5. Click Other model.

    Use Browse for model... to browse for another model folder containing the drawing templates that you want.

  6. Click Select template...

  7. In the Drawing Templates dialog, select a drawing template and leave the list open.

  8. In the Clone Drawing dialog, use the Objects and actions in cloning options to define the drawing objects to be cloned and the actions for each cloned object.

  9. Clone the drawing by clicking Clone selected.

Tekla Structures clones the drawing. The cloned drawing is added in the Document manager, where the cloned drawings are marked with the text Drawing was cloned in the Changes column. The Cloning source column indicates which drawing was used as the cloning template.

Tip:

You can specify that a certain model folder is always used as a template library using the advanced option XS_DRAWING_TEMPLATES_LIBRARY.

Clone dimensions in selected views only

The dimension cloning options in the Clone Drawing dialog affect all views, whereas the Dimension creation method in this view option sets the dimension creation method for the selected view only. You can create automatic dimensions in the front view and clone the dimensions in section and end view, for example.

  1. Double-click the drawing view frame to open the View Properties dialog.
  2. On the Attributes 2 tab, set Dimension creation method in this view to Clone.

    Using this option affects the creation of the dimensions during cloning and re-dimensioning of existing drawings.

  3. Click Modify.
  4. Save and close the drawing.
  5. Open the Document manager, select the drawing and click Clone...
  6. In the Clone Drawing dialog, select the objects to be cloned and the dimension cloning option (Ignore, Clone, Create).
    • If you select Dimensions > Ignore, the dimensions will be cloned only for those views that have Dimension creation method in this view set to Clone.

    • If you select Dimensions > Clone, the dimensions will be cloned for all views.

    • If you select Dimensions > Create, the dimensions will be created for all views except for those that have Dimension creation method in this view set to Do not create.

  7. Click Clone selected.

Refresh drawing associativity after cloning

Often improvements in cloning and associativity require that the associative rules have to be recreated. This can be done by using the Refresh associativity command. When you use this command, you do not need to recreate the drawing.

For example, this command is very useful if you have a cloning template you have created using an older Tekla Structures version and want to utilize the better associativity of a newer Tekla Structures version.

  1. On the Drawings & reports tab, click Document manager.
  2. Open a cloning template whose associativity you want to refresh.
  3. Go to Quick Launch, enter Refresh associativity, and click the Refresh associativity command on the displayed list.
  4. Save the cloning template.

What to check in cloned drawings

Always check the cloned drawings to make sure that the drawing contents meet your needs, and marks, views and dimensions are correct.

You should go through the cloned drawings and check that everything is correct. Below is a checklist for this purpose.

Object

Check and change if necessary

Marks

  • In general, mark contents are correct in cloned drawings, but sometimes you may need to modify the location of the marks.

  • Tekla Structures clones marks that can be mapped to the original drawing and creates new marks for parts that cannot be mapped to the template drawing.

Views

  • Ensure that the view sizes and view orientation are correct, and that the views are placed correctly in the cloned drawing. The size of the views is updated according to the parts included in the views.

Dimensions

  • If the cloned drawing contains less parts than the original drawing, the dimensions to the missing parts are automatically removed.

  • If the cloned drawing contains more parts than the original drawing, Tekla Structures dimensions the additional parts using automatic dimensioning, if you have set the advanced option XS_INTELLIGENT_CLONING_ADD_DIMENSIONS to TRUE. Because Tekla Structures uses automatic dimensioning for creating dimensions for new parts, you may have to check and correct the created dimensions.

  • Add missing dimensions and remove the incorrect ones.

Was this helpful?
Previous
Next