Introduction to seismic analysis and design
All seismic codes work in a similar manner from the loading view point with relatively minor differences in terminology and methodology.
It is worth noting at the start that seismic analysis determines a set of forces for which it is expected (statistically) that if those forces are designed for and other design precautions taken (additional seismic design) then in the event of an earthquake the structure may well suffer extensive damage but will not collapse and for some categories of building should actually remain serviceable.
In Tekla Structural Designer the Seismic Wizard gathers all the information together to set up the requirements for a seismic analysis.
From this information a number of things are determined:
-
If working to ASCE 7 - the seismic design category (SDC) for the building - giving amongst other things the permissible type of analysis
-
The Effective Seismic Weight combination to determine the seismic base shear in the building
-
The natural frequencies of the building in two horizontal directions
-
The Seismic loadcases and the Seismic Accidental Torsion loadcase
-
The Seismic combinations - the combination of the seismic loads with other load cases as required by the code.
Earthquakes load a building by a random cyclic acceleration and deceleration of the foundations. These are in any horizontal direction (2 orthogonal directions in Tekla Structural Designer) but can also be in a vertical direction too. This ground acceleration excites the building in its natural frequencies.
As a result, if the building is:
-
In an area of low seismic acceleration, low in height and poses limited risk to life then a gross approximation can be used in analysis - assuming a % of gravity loading is applied horizontally to the building to represent the earthquake (US codes 1%, Australian codes 10%).
-
In an area of moderate to low seismic acceleration, medium to low in height and does not house a significant number of people - the predominant mode excited is the 1st mode. An equivalent lateral force (ELF) approximation can be used that applies static horizontal loading distributed up the building to mimic the shape of the 1st mode of vibration in a static analysis. RSA can also be used in place of ELF as it is less conservative.
-
Anything else, in an area of high acceleration, tall in height and could be holding many people or be critical post-earthquake then a "more representative" analysis method of Response Spectrum Analysis (RSA) should be used. This analysis is based upon a modal analysis considering all mode shapes in the two horizontal directions in which typically 90% of the structure's mass is mobilized.
The results from the chosen method of seismic analysis are used in combination with other gravity and lateral loadcases to design both normal members and those members in seismic force resisting systems (SFRS). If working to ASCE 7, these latter members need additional design and detailing rules to ensure they resist the seismic forces that they were subjected to during an earthquake, the extent of these rules are determined by the SDC noted above (the higher the demand, the ‘better’ the SFRS that will be required).
Explore the topics below to find out more.
Definitions
There are two types of seismic analysis available in Tekla Structural Designer:
-
Equivalent Lateral Force (ELF) – a static method using an inverted triangle of static forces up the structure to mimic the first mode of vibration – assuming this is the fundamental motion of the structure.
-
Modal Response Spectrum Analysis (RSA) - an analysis technique that takes an earthquake elastic design spectrum and the results from a vibration analysis to calculate the range of forces within a structure resulting from the ground motions of the earthquake.
Various terms used in the ELF or RSA seismic analysis & design processes are described below:
Code Spectra
The spectra specified in a country's loading and design codes for use in ELF and RSA analysis.
Site Specific Spectra
User defined spectra for ELF and RSA which are required for locations which use another country's loading and design codes where the code spectra are not relevant.
Static Loadcases
Standard loadcases, e.g. "Self weight - excluding slabs", "Dead", etc., and derived cases for NHF/EHF, but no patterns.
Seismic Loadcases
Two lateral loadcases "Seismic Dir1" and "Seismic Dir2" are created by the Seismic Wizard. Being derived from information supplied in the wizard, these cannot be edited.
-
For ELF they are static Loads solved by static analysis. They can be viewed graphically in the Results view by activating the "Seismic" button on the Results ribbon.
-
For RSA they are solved by modal analysis + RSA post-processing of this. No actual loads are available for graphical display.
Seismic Accidental Torsion Loadcase
A “Seismic Accidental Torsion'' case can be generated by the Seismic Wizard and is regenerated whenever Seismic Combinations are modified. This is a static torsion loadcase solved by static analysis for both ELF and RSA. It can be viewed graphically in the Results view by activating the "Seismic" button on the Results ribbon.
Seismic Combinations
Seismic combinations are created by the Combination Generator that opens at the end of the Seismic Wizard. They can then be modified in the standard Combination dialog. They are formed from static loadcases, seismic loadcases and can include a seismic accidental torsion loadcase.
As RSA results do not have a sign, every value can be positive or negative – an RSA combination can be thought of as an envelope. A single RSA combination can therefore represent the equivalent of multiple ELF combinations - as a result they can be simpler to use compared to ELF.
Effective Seismic Weight Combination
If working to ASCE 7/UBC this combination is used for modal analysis, and in the calculation of base shears, during the Seismic Analysis Process. This combination is created and modified by the Seismic Wizard only.
Seismic Inertia Combination
If working to Eurocodes this combination is used for modal analysis, and in the calculation of base shears, during the Seismic Analysis Process. This combination is created and modified by the Seismic Wizard only.
Fundamental Period (T)
Separately for Dir 1 & Dir 2, this is either defined in the Seismic Wizard, (user value or calculated), or determined in the modal analysis for the Seismic weight/inertia combination.
Level Seismic Weight
For each relevant level, this is the sum of the vertical forces in nodes on that level, for the Seismic weight/inertia combination.
Effective Seismic Weight
This is the sum of the level seismic weights for all relevant levels for the Effective Seismic Weight/Seismic Inertia combination.
Seismic Base Shear
The base shear is calculated separately for Dir 1 & Dir 2, for the Effective Seismic Weight/Seismic Inertia combination.
Modal Combination Method (MCM)
Modal combination is the process which is part of RSA analysis of combining - in some manner - the results of several modes into a single result.
Following a key principle of RSA - application of the MCM is always the final process.
Any result - (reaction, internal force, displacement, drift, base shear ...) - is always produced by application of MCM to the specific modal (i.e. from one mode) results. So for example, RSA MCM reactions come from applying MCM to the modal reactions.
Square root of Summation of Square (SRSS)
The SRSS formula for combining modes in RSA is as follows:
λ = Absolute value of combined "response"
λk = "response" value for Relevant Mode k
n = Number of Relevant Modes
Complete Quadratic Combination (CQC)
The CQC formula for combining modes in RSA is as follows:
λ = Absolute value of combined "response"
λi = "response" value for Relevant Mode i
λj = "response" value for Relevant Mode j
n = Number of Relevant Modes
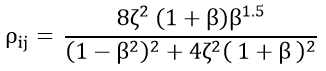
ρij = Cross modal coefficient for i & j
Cross Modal Coefficient
This co-efficient is used in the CQC method for combining modes in RSA.

ζ = modal damping ratio
IBC/ASCE assumed = 5% (ASCE Figs 22-1 to 6)
EC8 assumed = 5% where q accounts for the damping in various materials being different to 5% (EC8 Cl 3.2.2.5)
IS codes the user can define the level of damping and this is accounted for in the above equation.
β = Frequency ratio = ωi / ωj
ωi = Frequency for Relevant Mode i
ωj = Frequency for Relevant Mode j
Seismic Wizard
In Tekla Structural Designer the Seismic Wizard sets up the information required for either ELF or RSA seismic analysis - the main input parameters being:
-
Ground acceleration - strength of the earthquake
-
The Importance Level (or Importance Class) of the building - the use to which the building is being put - typically
-
I= very minor, farm and temporary buildings,
-
II= general buildings occupied by people,
-
III = buildings occupied by a large number of people
-
IV = critical buildings with a post-disaster function, e.g. hospitals, police stations, fire stations and buildings along access route to them)
-
-
The ground conditions upon which the building is founded (typically Hard Rock, Rock, Shallow soil, Deep Soil, Very Soft Soil)
-
Building height - for low buildings the first mode is totally dominant in taller buildings other modes become significant
-
Plan and vertical irregularities in the building
From this input the Seismic Wizard determines the seismic design category for ASCE 7, and also the elastic design response spectrum to be used for the building.
Additionally the Wizard sets up the Effective Seismic Weight/Seismic Inertia combination - the combination of loads likely to be acting on the building when the earthquake strikes.
Vertical and Horizontal Irregularities
There are typically 5 types of horizontal irregularity and 5 types of vertical irregularity - all are defined to pick up structures that have lateral framing systems and shapes in plan that will preclude the structure naturally developing a simple first mode of vibration. Since this is a basic assumption of ELF - the presence of these irregularities may preclude the use of ELF so that RSA needs to be used instead.
Torsion
When a structure's center of mass at a level does not align with the position of the center of rigidity then torsion is introduced in the structure at that level when an earthquake excites the structure. To account for this, there are two types of torsion potentially applied to levels with rigid or semi-rigid diaphragms during a seismic analysis:
-
Inherent torsion - in a 3D analysis when the center of mass and center of rigidity at a level do not align, this is taken account of automatically.
-
Accidental torsion - to allow for the uncertainty in position of loads in a structure, an additional eccentricity of usually 5% of the structure's width in all relevant directions. This is accounted for with a torsion loadcase in the analysis. Structures with certain SDCs and certain horizontal irregularities can require the accidental torsion to be amplified.
An Amplify accidental torsion moment setting on the Structural Irregularities page of the Seismic Wizard is automatically activated when the irregularity settings require it.
When activated the torsion calculations are always performed and amplified torsion result tables are included in the Seismic Design report even if amplification is not actually applied. This setting can also optionally be selected at your discretion when not required by the irregularity settings in order to ensure that torsional irregularity is always checked.
- δmax = maximum horizontal displacement for all column/wall nodes on that level
- δmin = minimum horizontal displacement for all column/wall nodes on that level*
- δavg = (δmax + δmin)/2
- Ax = min( 3.0, max(Ax, (δmax / (1.2 ×δavg))2 )) where Ax is the value for this level for the torsional loadcase
When working to ASCE 7-22 a Torsional Irregularity Ratio (TIR) is also calculated - see: Annex 2 –Torsional Irregularity Ratio (TIR) (Cl 12.3.2.1.1)
The displacement and calculated Ax values for each direction and level are output in the Seismic Design Report. For each relevant level with Ax > 1.0 the accidental torsion loads on each level are multiplied by Ax
The analysis results are automatically updated if the accidental torsion loads are amplified.
Modal Analysis
Using the Effective Seismic Weight/Seismic Inertia combination, a modal analysis is run for two purposes:
-
the fundamental natural frequencies of the building in the two orthogonal building directions are determined to assist with the calculation of the seismic base shear that in turn is used to determine the distribution of applied loads up the building for an ELF analysis
-
the frequencies and mode shapes of the building to be included in an RSA analysis are determined such that typically 90% of the mass in the building is mobilized
% of Gravity Load Method
The % of gravity load method is used as a means of a gross approximation of the earthquake and is only used in situations where seismic effects are considered to be low. This loadcase is combined with the relevant load factor with other gravity and lateral loadcases to determine the design forces and moments to be considered in conventional design.
Equivalent Lateral Force Method
The ELF method assumes a predominant single lateral mode of the entire structure in one direction with a large % of participating mass.
Based on the fundamental frequency and the Effective Seismic Weight/Seismic Inertia combination, a total base shear on the structure is determined and this is then set up as a series of forces up the structure at each level (in the shape of an inverted triangle) which deflect the structure in an approximation to the shape of the dominant mode.
The resulting seismic loadcases are combined with the required combination factors with the other gravity and lateral loadcases in the seismic combinations to give the design forces and moments which are used in both the conventional design of all members, and the seismic design of any steel or concrete members that have been identified as part of a seismic force resisting system (US code only).
Response Spectrum Analysis Method
The RSA method uses a set of vibration modes that is sufficient to reach (by default) at least 90% total mass participation in the building directions.
The method is basically for each mode to determine an acceleration value from the design spectrum. The acceleration is then used (together with the modal mass participation %) to derive a factor for each mode shape that gives a 'real' displacement - termed the modal 'displacement demand'. From this all other modal results are derived - all the internal member forces and reactions etc. The modal results are then combined using the MCM to produce the combined RSA results used in design.
There are a number of combination methods with the following two being available in Tekla Structural Designer:
-
Square root of Summation of Square (SRSS)
-
Complete Quadratic Combination (CQC) - a method that is an improvement on SRSS for closely spaced modes
The combination methods (SRSS and CQC) are statistical and the resulting seismic loadcases are unsigned hence to derive the seismic combination results, they are applied with the required combination factors both + and - around the "static" results of the other loadcases to give the design forces and moments which are used in design.
Response Spectrum Analysis Processes
RSA Seismic Analysis (1st or 2nd order) is run as a stand-alone analysis from the Analyze ribbon tab, or as part of one of the Design (RSA) processes available from the Design ribbon tab. In the latter case the use of 1st order or 2nd order is set for the static analysis is set via Design Settings > Analysis.
You can now also run Analyze All (RSA) which runs all the analyses processes which are part of Design (RSA).
The RSA seismic analysis process consists of the following steps:
Step | Process | Description |
---|---|---|
1 | Model Validation |
Run to detect any design issues which might exist. This is similar to standard model validation but also checks:
|
2 | Modal Analysis | A 1st order modal analysis for the Effective Seismic Weight/Seismic
Inertia combination only, which returns the standard results for
that analysis type, but also the fundamental* periods for directions
1 & 2. * the 'fundamental period" is automatically determined as that with the highest mass participation % for each orthogonal building direction. |
3 | Pre-Analysis for Seismic |
Performs calculations for RSA Torsion Loadcases. The seismic weight and seismic torque are both calculated at this stage. |
4 | Static Analysis | 1st Order Linear or 2nd Order Linear analysis is performed for all Seismic Combinations and all their relevant loadcases, i.e. this includes Static Loadcases, but does not include Seismic (lateral) Loadcases. |
5 | RSA Analysis | A set of results is generated for a sub-set of vibration modes for each Seismic (lateral) loadcase. |
6 | Accidental Torsion Analysis | Analysis of any Torsion Loadcases that exist. |
Vertical Loads
The treatment of seismic vertical load effects in Tekla Structural Designer is code dependent, as described for each code below:
ASCE 7
Vertical seismic load effect
|
E = Eh + Ev or E = Eh - Ev where E = seismic load effect Eh = horizontal seismic load effectEv = vertical seismic load effect Ev is determined from clause 12.4.2.2 as: Ev = 0.2 x SDS x D where SDS = design spectral response acceleration parameter at short periods D = effect of dead load |
- For structures assigned to Seismic Design Category A, Ev is not applied.
- For structures assigned to Seismic Design Category B an 'Include vertical seismic load effect' checkbox is provided on the Basic Information page of the seismic wizard. By unselecting the checkbox Ev will taken as zero.
- For structures assigned to Seismic Design Categories C, D, E or F; Ev is automatically applied.
Example 1 - adjustment of dead load factors in the ASD seismic combination 1.0D + 0.7v + 0.7h when SDS = 26.67 % g | |
---|---|
Original combination including vertical seismic load effect | 1.0D + 0.7Ev + 0.7Eh |
Substituting for Ev |
1.0D + 0.7(0.2 x SDS x D) + 0.7Eh |
Which can be rearranged to |
(1.0 + 0.7(0.2 x SDS))D + 0.7Eh |
Substituting for SDS = 0.2667 |
(1.0 + 0.7(0.2 x 0.2667))D + 0.7Eh |
Which simplifies to |
1.037D + 0.7Eh |
Hence the adjusted factors displayed for this combination in Tekla Structural Designer: ![]() |
Example 2 - adjustment of dead load factors in the ASD seismic combination 0.6D - 0.7v + 0.7h when SDS = 26.67 % g | |
---|---|
Original combination including vertical seismic load effect |
0.6D - 0.7v + 0.7Eh |
Substituting for Ev |
0.6D - 0.7(0.2 x SDS x D) + 0.7Eh |
Which can be rearranged to |
(0.6 - 0.7(0.2 x SDS))D + 0.7Eh |
Substituting for SDS = 0.2667 |
(0.6 - 0.7(0.2 x 0.2667))D + 0.7Eh |
Which simplifies to |
0.563D + 0.7Eh |
Hence the adjusted factors displayed for this combination in Tekla Structural Designer: ![]() |
Vertical spectra
The commentary to ASCE 7-22 states:
|
For most structures, the effect of vertical ground motions is not analyzed explicitly; it is implicitly included by adjusting the load factors (up and down) for permanent dead loads, as specified in Section 12.4. Certain conditions requiring more detailed analysis of vertical response are defined in Chapters 13 and 15 for nonstructural components and nonbuilding structures, respectively. |
Consequently, there is no explicit analysis or consideration of a vertical spectrum in either the ELF or RSA analysis methods in Tekla Structural Designer.
Horizontal cantilevers
|
12.4.4 Minimum Upward Force for Horizontal Cantilevers for Seismic Design Categories D through F For a structure assigned to Seismic Design Category D, E, or F, horizontal cantilever structural members shall be designed for a supplemental basic load combination consisting of a minimum net upward force of 0.2 times the dead load for strength design, or 0.14 times the dead load for allowable stress design. |
Tekla Structural Designer does not do this automatically and so it is up to the user to deal with it with separate combinations.
UBC
Vertical seismic load effect
The method of application for UBC is the same as that for ASCE 7 - the calculated vertical seismic load effect being automatically applied to either amplify, or in combinations where the dead load is being considered as beneficial, to reduce the dead load strength factors in the seismic combinations. The only difference being that for UBC the vertical seismic load effect factor is calculated as follows:
-
0.5 x Ca x I x Dead loads for strength design
-
0.0 for allowable stress design
EC8
Vertical component of seismic action
|
(l) If avg is greater than 0.25 g (2.5 m/s2) the vertical component of the seismic action, as defined in 3.2.2.3, should be taken into account in the cases listed below:
|
The above cases are not dealt with explicitly in Tekla Structural Designer.
IS1893 (Part 1)
Design vertical earthquake effects
Design vertical earthquake effects are considered in IS1893 (Part 1) : 2016 section 6.3.3.
|
Effects due to vertical earthquake shaking shall be considered for the safety of buildings, embankments, bridges and dams or their components, including in the following cases: a) structure located in Seismic Zone IV or V, b) structure has vertical or plan irregularities, c) structure is rested on soft soil, d) structures with long spans, which cause amplification of oscillations due to their flexibility, e) structure has large overhangs of structural members or sub-systems, f) prestressed structures, and g) structures with prestressed members. |
When both horizontal and vertical seismic forces are to be taken into account, section 6.3.4 then goes on to describe how earthquake load components may be combined to account for three directional earthquake ground shaking.
|
When responses from the three earthquake components are to be considered, the responses due to each component may be combined using the assumption that when the maximum response from one component occurs, the responses from the other two components are 30 percent each of their maximum. All possible combinations of three components (ELX, ELY and ELZ) including variations in sign (plus or minus) shall be considered. Thus, the structure should be designed for the following sets of combinations of earthquake load effects: 1. +/- ELX +/- 0.3 ELY +/- 0.3 ELZ 2. +/- ELY +/- 0.3 ELZ +/- 0.3 ELX and 3. +/- ELZ +/- 0.3 ELX +/- 0.3 ELY where X and Y are orthogonal plan directions and Z vertical direction. |
Currently neither section 6.3.3 or 6.3.4 are automatically catered for in Tekla Structural Designer, the user would therefore have to consider these manually if required.
Vertical spectra
Clause 6.4.6 states:
|
The design seismic acceleration spectral value Av shall be taken as: (2/3 x Z/2) x 2.5 / (R / I) for buildings |
The above clause is not currently considered in Tekla Structural Designer.
Seismic Drift
Seismic drift is assessed on a floor to floor horizontal deflection basis and there are limits for acceptability of a structure.
When working to the ASCE 7 code, the engineer can directly define the shear demand / capacity ratio (beta) for columns and walls. The default value of 1.0 could be over-conservative. This option is located in the “Seismic” group of member properties, and can be set separately for 'Direction 1' and 'Direction 2' and for each stack/panel, as shown in the picture below.
-
The setting is applicable to all years of the ASCE 7 code and has the following default and limits: Default = 1; Min = 0.001; Max = 10.
Also, when working to the ASCE 7 code, the engineer can specify how the check is to be performed, the options being:
-
Automatic - Center of Mass/ Edge of Structure - the drift check is carried out at a single location in each level which is automatically set as either the center of mass (CoM) or at the edge of the structure, as required by the code and the settings made on the Structure Irregularities page. As in all previous releases, the CoM is automatically determined for all load combinations and can be viewed in any model view by enabling the Scene Content “Center of Mass” option as described in this article What are the Center of Mass and Center of Rigidity?
-
Every Column / Wall Stack - how the check was performed in all previous releases.
The Seismic Drift check results can be accessed from the Status tab in the Project Workspace as shown below.
In this example the checks have been performed at the Center of Mass (CoM).
For other seismic loading codes the check can only be performed for “Every Column / Wall Stack” in which case results are displayed as shown below.
The check details can be included in printed output by adding the Analysis > Seismic Drift chapter to your model report.
Design Coefficients and Factors (ASCE 7/UBC)
-
The response modification coefficient which affects the seismic base shear.
-
The overstrength factor accounts for the reinforcement steel yielding overstrength and is utilized in the concrete beam and column capacity calculations.
-
The deflection amplification factor which is used in the calculation of seismic drift.