Wall mesh definition
If walls have been modeled as meshed, when the structure is analyzed they will initially adopt the mesh type and size specified in Structure Properties. You can however override these to apply a user defined mesh to individual walls if necessary. Extra consideration of the analysis model may be required if openings have been placed within meshed walls.
By default FE meshed walls are created with isotropic analysis properties. Orthotropic properties can be specified if required to model walls that are assumed to be predominantly "one-way spanning," such as masonry wall panels and cross-laminated timber (CLT) panels.
Mesh type and size guidelines for walls
When creating walls, you first have to choose whether to use the mid-pier or meshed modeling option. Since mid-pier walls have a number of limitations the expectation is that usually the meshed option will be preferred.
Assuming you choose the meshed option, you then also need to consider what is an appropriate mesh size, and what type of 2D element (i.e. QuadDominant, Quad, or Triangular) is most appropriate. The defaults in Tekla Structural Designer are:
- wall mesh horizontal and vertical size: 1m (3')
- 2D element type: QuadDominant
Benchmarking quad and triangular meshes against the equivalent mid-pier model and theory
A small laterally loaded wall model is investigated to benchmark the quad and triangular mesh types against an equivalent mid-pier model and theoretical results.
Model definition
A 12 tall x 6 long x 0.2 thick cantilever wall is subjected to a horizontal tip load of 100 and vertical tip load of -1000.
E = 13.4x106
G = 5583x103
P = 100
L = 12
h = 6
t = 0.2
Assumptions
Flexural and shear deformations are included.
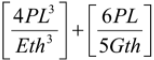
Theory

Models
Three models are initially considered as follows:
- FE meshed wall (quad elements - default mesh size)
- FE meshed wall (triangular elements - default mesh size)
- Mid-pier wall
The FE meshed model parameters are then varied to investigate potential mesh sensitivity.
Key results
| Result | Theoretical formula | Theoretical value | FE meshed quad elements | FE meshed tri elements | Mid-pier |
|---|---|---|---|---|---|
| Mesh size | 72 elements | 170 elements | N/A | ||
| Lateral Support Reaction | -P | 100 | 100 | 100 | 100 |
| Support Moment | PL | -1,200 | -1,200 | -1,200 | -1,200 |
| Lateral Deflection |
|
0.001409 | 0.001380 | 0.001333 | 0.001409 |
Comment on above results
As is to be expected, the lateral deflection reported for the mid-pier model exactly matches the value predicted by beam theory. What may at first seem surprising is that the lateral deflections reported for both the meshed models are slightly different. It must be borne in mind that while the answer given by beam theory is an accepted close approximation, it is assuming that plane sections remain plane, so a small difference in the deflection results when using an FE meshed model might be expected.
Mesh sensitivity study (quad elements)
To investigate the sensitivity of the lateral deflections to mesh size the analysis is repeated using a range of mesh sizes.
| Result | Beam Theory | Quad elements | |||
|---|---|---|---|---|---|
| 8 shells | 72 shells (default) | 288 shells | 1152 shells | ||
|
|
|
|
||
| Lateral Deflection | 0.001409 | 0.001334 | 0.001380 | 0.001386 | 0.001388 |
| Result | Beam Theory | Triangular elements | |||
|---|---|---|---|---|---|
| 22 shells | 170 shells (default) | 666 shells | 2652 shells | ||
|
|
|
|
||
| Lateral Deflection | 0.001409 | 0.001065 | 0.001333 | 0.001373 | 0.001384 |
Conclusion
When using FE meshed elements for walls, quad elements are to be preferred as they are not particularly sensitive to the mesh size that is adopted. The same can not be said to be true for triangular elements. For this reason we would suggest using either the Quad dominant, or Quad only mesh types, for walls, with the Tri only mesh type being non-preferred.
While mid-pier walls have been shown to give accurate results for this simplistic example, they have significant limitations in real models, one of the main ones being that they do not cater for wall openings. For that reason they are also not generally recommended.
Adjust the wall mesh parameters specified in structure properties
Initially, the same mesh parameters are applied to all meshed walls in the structure. In order to adjust these, see the following instructions.
- Go to the Project Workspace.
-
In the Structure tree, click
Structure.
- Go to the Properties window.
-
If necessary, in Wall Mesh Type, change the shape of the wall mesh:
-
QuadDominant: (Default) mainly consists of quadrilateral 2D elements, but may use occasional triangular elements to create a better mesh.
-
QuadOnly: only consists of quadrilateral 2D elements.
-
Triangular: only consists of triangular 2D elements.
Note: The Triangular option is not generally recommended for modeling walls. While for out of plane results there is little difference between quads and triangular elements, for in-plane results triangular elements are constant stress and quads are bi-linear.
-
- Adjust the horizontal and vertical sizes of the wall mesh according to your needs.
Apply different mesh parameters to individual walls
If you need to apply different wall mesh parameters to specific walls, you can override the model mesh properties, and modify the properties of the individual wall. For more information, see the following instructions.
- In the model, select the walls that you want to modify.
- Go to the Properties window and locate the parameters under the Meshing heading.
- Select Override model's
-
If required, in Wall Mesh Type, change the shape of the wall mesh:
-
QuadDominant
-
QuadOnly
-
Triangular
-
- Adjust the horizontal and vertical sizes of the wall mesh according to your needs.
Review the wall mesh before the analysis
In order to review the existing slab mesh in your model before running a particular analysis, see the following instructions.
