1st order modal - Simply supported beam
Problem definition
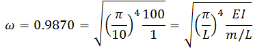
Determine the fundamental frequency of a 10 long simply supported beam with uniform EI and mass per unit length equal to 1.0.

Assumptions
Shear deformations are excluded. The number of internal nodes varies from 0-5. Consistent mass is assumed.
Key results
The theoretical value for the fundamental frequency is calculated as:

Where m is the total mass of the beam.
| No. internal nodes | Solver value | % error |
|---|---|---|
| 0 | 1.0955 | 10.995 % |
| 1 | 0.9909 | 0.395 % |
| 2 | 0.9878 | 0.081 % |
| 3 | 0.9872 | 0.026 % |
| 4 | 0.9871 | 0.011 % |
| 5 | 0.9870 | 0.005 % |
Conclusion
As the element is subdivided the result converges to the correct theoretical value.